Новая теория Материалы О нас Услуги Партнеры Контакты Манифест
   
 
Материалы
 
ОСНОВНЫЕ ТЕМЫ ПРОЧИЕ ТЕМЫ
Корея, Ближний Восток, Индия, ex-СССР, Африка, виды управленческой деятельности, бюрократия, фирма, административная реформа, налоги, фондовые рынки, Южная Америка, исламские финансы, социализм, Япония, облигации, бюджет, СССР, ЦБ РФ, финансовая система, политика, нефть, ЕЦБ, кредитование, экономическая теория, инновации, инвестиции, инфляция, долги, недвижимость, ФРС, бизнес в России, реальный сектор, деньги
 

Воспроизводственный контур

30.10.2014

Замечание: текст составлен по статьям, семинарам и видеолекциям Олега Григорьева; составитель - Елена Ижицкая.

Одним из ключевых в неокономике является понятие уровня разделения труда. Именно это понятие лежит в основе анализа процессов в мировой экономике. Однако когда мы говорим о разделения труда и о его влиянии на экономическое развитие, главной проблемой остается неясность, к какому именно объекту применяется понятие «разделение труда».

Когда мы анализировали взаимодействие двух экономик с разным уровнем разделения труда, мы предполагали, что для каждой из них характеристика уровня разделения труда задана для всей экономики в целом. Для модельного примера такое упрощение допустимо. Однако при более широком взгляде на реальные экономики возникает ряд вопросов.

Любая реальная национальная экономика представляет собой сложную совокупность экономических подсистем с разным уровнем разделения труда, причем подсистемы с низким уровнем разделения труда поглощаются системами с более высоким уровнем разделения труда. При этом экономические системы с высоким уровнем разделения труда существуют как бы поверх национальных экономик, и не могут быть описаны в рамках показателей, характеризующих национальные экономики. Иными словами, уровень разделения труда – не статичная, а динамичная характеристика.

Существует две основных причины, почему за основной предмет исследования нельзя брать национальную экономику.

Во-первых, и об этом частично речь шла выше, ортодоксальная экономическая теория (economics) всегда неявно предполагает, что национальная экономика, всегда является однородной. С точки зрения нашего подхода «однородность» означает, что в стране сложился единый уровень разделения труда, определяющий параметры сбалансированности экономики (равновесия), и все экономические агенты действуют в условиях, задаваемых общим для всех уровнем разделения труда.

С нашей точки зрения такое представление неверно. В общем случае любая национальная экономика является неоднородной, то есть состоящей из подсистем с разными уровнями разделения труда. Причем для развитых стран начиная с некоторого момента времени некоторые из таких подсистем выходят за пределы национальных границ, формируя контуры глобальной экономики, а в случае развивающихся государств происходит включение их трудовых и природных ресурсов в системы разделения труда, осуществляющие экспансию на их территорию.

Что же касается отдельных экономических субъектов, в первую очередь фирм, то в неоднородной экономике они входят одну или одновременно несколько подсистем с разным уровнем разделения труда, причем обычные экономические индикаторы, в первую очередь, цены, не дают информации о том, в какие именно подсистемы (и в какой пропорции) они входят. То есть экономические агенты действуют в ситуации, в которой наличествует практически абсолютная неопределенность.

Мы рассматриваем экономическое развитие как динамический неравновесный процесс, в ходе которого структуры с более высоким уровнем разделения труда вытесняют структуры с низким уровнем, используя высвобождающиеся при этом трудовые и природные ресурсы для повышения уровня разделения труда. Этот процесс не привязан к национальным границам, он происходит как внутри них, так и за их пределами, хотя, конечно, наличие национальных границ накладывает определенные ограничения на интенсивность экономических процессов.

Во-вторых, ортодоксальная наука рассматривает национальную экономику как замкнутую и равновесную, в том смысле, что в ней распространены одни и те же деньги. В нашей терминологии такую экономику можно предствить как экономическую подсистему, которая может быть охарактеризована единым уровнем разделения труда (эндогенные деньги).

Но поскольку в соответствии с нашим подходом национальные экономики являются неоднородными, то по отношению к неоднородной экономике деньги и денежные системы должны рассматриваться как экзогенный фактор: только в этом случае они могут обеспечивать взаимодействие систем с различным уровнем разделения труда. При этом различные варианты политики введения экзогенных денег в экономику во многом предопределяют как динамику, так и результаты взаимодействия систем с различным уровнем разделения труда.

Объектом, к которому применяется понятие уровня разделения труда в неокономике, является воспроизводственный контур – экономическая подсистема, сбалансированная по производству и потреблению. Иными словами, все, что в этой системе производится, в ней же и потребляется, то есть воспроизводственный контур – замкнутая система.

Поскольку мы изменили основной объект исследования по сравнению, например, с политической экономией, где объектом рассмотрения является национальное государство, или с неоклассикой (economics), где таковым является рациональный индивидуум, то в соответствиями с традициями экономической науки мы имеем право ввести новое название для нашей экономической теории.

Таким образом, для более углубленного и более точного понимания экономических процессов неокономика ставит в центр анализа экономические подсистемы,  характеризуемые уровнем разделения труда, или воспроизводственные контуры.

Воспроизводственный контур – это в значительной степени абстракция. Необходимо понимать, что воспроизводственный контур – это модель, которая может быть применена для анализа процессов в мировой экономике. Искать или выделять воспроизводственные контура в современной экономике – бессмысленно.

Реальные воспроизводственные контурамогли существовать (или до сих пор существуют) на заре процесса экономического развития. В качестве примеров таких реальные воспроизводственных контуров можно привести робинзона (который потребляет только то, что смог произвести сам), племя или деревенскую общину, не имеющую связей с внешним миром, либо же феодальное хозяйство. Иными словами, речь идет о натуральном хозяйстве в чистом виде, которое в собственных пределах производит все хозяйственные блага, в которых нуждаются его члены.

Сейчас такой реальный воспроизводственный контур – это архаизм. После появления денег и денежного обмена границы воспроизводственных контуров нарушаются, они начинают взаимодействовать друг другом, объединяться и увеличиваться в размерах, формируя собственную систему разделения труда или включаясь в другую такую систему более высокого уровня.

Несмотря на то, что реальный воспроизводственный контур стал архаизмом, теоретическая модель воспроизводственного контура может быть без потерь сохранена для решения вполне конкретных проблем.

Теоретический воспроизводственный контур может быть выстроен:

- относительно какого-либо товара;

- относительно фирмы (редко).

В этом случае нас интересует:

- численность людей в этом воспроизводственном контуре, которая, в случае товара, делает возможным его производство и потребление, или, в случае фирмы, делает возможным ее функционирование;

- продуктивность воспроизводственного контура. 

Для моделирования воспроизводственных контуров и их взаимодействия необходимо задать систему функций потребительского поведения и показатели производительности отдельных производственных процессов.

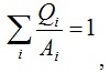
Систему функций потребительского поведения мы предлагаем формировать на основе подхода Торнквиста. Основная формула для задания и контроля сбалансированности по производству и потреблению выглядит следующим образом:

где Q‒ функции потребительского поведения, A‒ показатели производительности по каждому товару, i ‒ количество производимых в системе товаров.

Фактически, эта формула составляет формальное определение воспроизводственного контура.

Система функций потребительского поведения и показатели производительности производственных процессов позволяют рассчитать показатели численности воспроизводственного контура и его продуктивности.

Продуктивность воспроизводственного контура – это количество продукции, получаемое с одной единицы используемого ресурса. В наших моделях используемый ресурс – это простой труд (человеко-час, человеко-день и т.д.).

Воспроизводственный контур характеризуется единым интегральным показателем продуктивности.

 

В качестве основной задачи исследования экономики на макроуровне неокономика ставит анализ факторов, влияющих на интенсивность взаимодействия экономических подсистем с разным уровнем разделения труда, а также определяющих условия и границы роста разделения труда в рамках тех или иных подсистем. При этом важным параметром для взаимодействия таких подсистем является экзогенный характер денег. На микроуровне задачей исследования является разработка методов соотнесения микрообъектов с экономическими подсистемами с разными уровнями разделения труда, прогнозирования их развития и выработка рекомендаций по выбору стратегий развития.

 

Система разделения труда и воспроизводственный контур

В общем случае любая национальная экономика является неоднородной, то есть состоящей из подсистем с разными уровнями разделения труда. Для развитых стран начиная с некоторого момента времени некоторые из таких подсистем выходят за пределы национальных границ, формируя контуры глобальной экономики, а в случае развивающихся стран происходит включение их трудовых и природных ресурсов в системы разделения труда, осуществляющие экспансию на их территорию.

Такие подсистемы с различным уровнем разделения труда с известной долей условности можно отождествить с воспроизводственным контуром.

Рассмотрим два реальных воспроизводственных контура (ВК), в которых есть два производственных процесса, то есть производятся два товара. Первый воспроизводственный контур − ВК1 − характеризуется показателями производительности A11и A12, причем A11> A12; второй воспроизводственный контур  − ВК2 − характеризуется показателями производительности A21и A22, причем A21< A22.

При введении денег в ВК1 или ВК2 они с течением времени начинают взаимодействовать. Взаимодействие начинается только с введением денег, это существенно.

Однако такое взаимодействие означает разрушение и изменение прежних границ и ВК1 и ВК2, и образование единой системы разделения труда, состоящей из двух контуров. В этой новой системе первый товар может производиться и работником (работниками) с показателем производительности A11, и работником (работниками) с показателем производительности A21; а второй товар, соответственно, и работником с показателем производительности A12, и работником с показателем производительности A22.

Пусть первый товар производит работник с показателем A11, а второй товар – работник с показателем A22. Наша гипотеза, которую нам предстоит проверить при моделировании, состоит в том, что в новой системе происходит специализация, и основными становятся именно производители с наивысшими (предельным) показателями производительности.

На основе этих предельных показателей мы можем построить новый теоретический воспроизводственный контур. Сами же эти предельные (максимально возможные) величины характеризуют систему разделения труда.

Еще одна гипотеза состоит в том, что эта новая система разделения труда для поддержания своего функционирования потребует большее количество людей (производителей и потребителей), чем совокупно находилось в изначальных ВК1 и ВК2.

Формально систему разделения труда можно определить как реальную экономическую систему, получающуюся при взаимодействии исходных реальных или теоретических воспроизводственных контуров, находящуюся в динамике. 

Метки:
экономическая теория

 
© 2011-2026 Neoconomica Все права защищены